近日获悉,中国科学院南海海洋研究所刘永宏研究团队与中科院华南植物园研究员魏孝义、中科院广州生物医药与健康研究院研究员涂正超合作,在海洋共生微生物抗肿瘤活性物质的研究中取得新进展。王俊锋从西沙棕色扁海绵Phakellia fusca Thiele共生节菱孢菌Arthrinium arundinis ZSDS1-F3中,成功分离获得具有抗肿瘤活性的吡啶酮生物碱,相关成果发表在Organic Letters上(2015, 17: 656−659)。
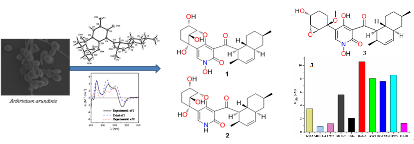
含萘环的吡啶酮生物碱在自然界中很少见,至今仅报道了九例含有萘环的吡啶酮生物碱。文献报道这类化合物具有非常广泛的生物活性,包括抗肿瘤、抗真菌(耐药)、抗细菌、抗HIV等活性,引起了合成化学家的重点关注。研究人员在A. arundinis ZSDS1-F3中分离获得了四个含有萘环的吡啶酮生物碱arthpyrones A–C (1–3) 和N-hydroxyapiosporamide (4),其中化合物arthpyrones A和B 结构中酪氨酸来源的苯环被完全氢化还原,并进一步经多步氧化、脱水形成手性复杂的多环系结构。同时研究人员利用核磁共振、质谱、旋光、圆二色谱、ECD量子化学计算和X-ray单晶衍射等技术,确定了arthpyrones A–C (1–3)新颖结构的立体构型。分离获得的吡啶酮生物碱中,arthpyrone C (3) 和N-hydroxyapiosporamide (4) 对10株肿瘤细胞均具有很强的细胞毒活性,同时发现arthpyrone C (3)具有显著的抗乙酰胆碱酯酶活性 (IC50: 0.81μM),抑制活性与Tacrine相当(IC50: 0.48 μM)。
该研究得到了国家“973”计划、“863”计划、国家自然科学基金等项目资助。
海洋共生微生物抗肿瘤活性代谢产物研究获进展
编辑:叶瑞优
新闻来源:http://www.cas.cn/syky/201503/t20150316_4322084.shtml










留言