异常的情绪体验和调控是重症抑郁症(Major Depression Disorder,MDD)患者的标志性行为表现。大量研究发现,MDD患者对负性情绪存在注意偏向,即偏好注意负性或悲观的情绪信息,这说明MDD患者存在情绪调控缺陷。情绪调控通常需要意识的参与。然而,在情绪信息被意识到之前,脑就已经开始处理它们了,这种处理称为意识下加工。目前,人脑对情绪信息的意识下加工机制尚未被揭示,也尚不了解MDD患者是否在意识下的情绪信息加工机制中存在异常。
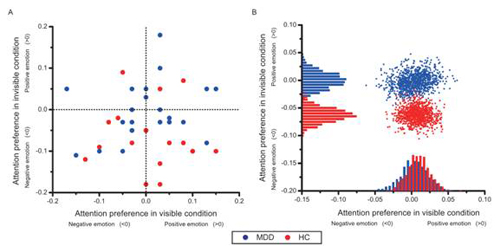
中科院心理研究所认知与发展心理学研究室杨志助理研究员、蒋毅研究员联合上海市精神卫生中心,应用双眼竞争技术中的“连续闪光抑制”方法对此问题进行了初步探索。23名MDD患者(由两名精神科医生诊断)及23名年龄、性别、教育程度匹配的健康对照被试参加了研究。研究者给被试的双眼分别呈现情绪面孔和干扰刺激,在被试意识不到情绪面孔时测量其注意偏向。结果发现,在没有知觉到人脸的存在时(意识下),对照组被试在更注意负性情绪面孔,而MDD患者对正性、负性情绪面孔的意识下注意没有显著差异。这一特征能够很准确地区分MDD患者和对照被试(如图)。
研究者分析,对照组被试对负性情绪的意识下注意倾向可能与人类的自我包括机制(逃避威胁)有关,而对正性情绪的意识上注意倾向反应了人类的主动情绪调控。研究者推测,MDD患者被试对意识下情绪信息的加工异常可能反应其低级情绪加工机制受损,因而导致对负性情绪的早期处理不足。这可能导致MDD患者的脑过度强化在意识上对负性情绪的认知和调控,从而出现以负性情绪状态为中心的临床症状。
该研究成果已经发表于学术期刊PLoS One。
论文信息:Yang Z, Zhao J, Jiang Y, Li C, Wang J, Weng X, and Northoff G (2011). Altered negative Unconscious processing in major depressive disorder: An exploratory neuropsychological study. PLoS One 6, e21881.
MDD患者和对照组被试的注意偏向。(A)MDD患者(蓝色点)和对照组被试(红色点)的注意偏向的个体结果。横轴表示意识上注意偏向,数值的正、负分别对应正性情绪和负性情绪。纵轴表示意识下注意偏向。(B)对两组被试多次重采样(bootstrap)后的统计分析结果显示,对照组被试的意识下更注意负性情绪(显示于纵轴),而MDD患者则没有出现明显的意识下注意偏向。两的被试群体在这一特征上出现较明显的分离。
新闻来源:http://www.cas.cn/ky/kyjz/201112/t20111201_3404597.shtml










留言