众所周知,DNA是遗传物质。不同的生物体根据其特定的DNA序列合成特定的蛋白质,而表现出不同的遗传性状,于是造就了世界的多样性。由于其双螺旋结构和自组装性质,DNA的特性已引起了各国科学家的广泛关注,并成为多学科交叉领域的热点研究问题。
2011年,以色列Naaman小组和德国科学家合作进行了DNA作为自旋过滤器的实验。他们首先将很多条相同的DNA紧密地置于金表面上,然后利用紫外光使电子从金表面逸出,最后利用Mott偏振器检测透过DNA的光电子的极化性质。他们的研究结果表明:(1)透过单层双链DNA系统的电子会产生极化,自旋极化率达到60%。(2)自旋极化率随着双链DNA长度的增加而增大。(3)透过双链DNA的光电子的极化性质与入射光的偏振性基本无关。(4)单层的单链DNA系统对电子自旋不具有过滤效应。该研究小组还进一步作了如下实验:将单个双链DNA分子接在两个电极之间,直接测量该系统的电流-电压曲线,进一步证实了DNA分子能作为自旋过滤器的事实。他们的工作发表在Science 331, 894 (2011)和Nano Lett. 11, 4652 (2011)上。
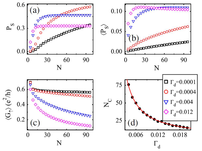
最近,中科院物理研究所/北京凝聚态物理国家实验室(筹)理论室博士后郭爱敏和研究员孙庆丰研究了DNA分子的自旋输运性质。双链DNA分子的空间结构如图1所示。他们考虑将单个DNA分子接在两个非磁性电极之间,给出了该系统的模型Hamiltonian,包括考虑自旋轨道耦合、退相干以及DNA的双螺旋结构。研究结果表明:(1)在存在退相干、螺旋和自旋轨道耦合的情况下,双链DNA分子具有较大的自旋极化率;并指出自旋极化流的产生是退相干、螺旋和自旋轨道耦合共同作用的结果,三者是缺一不可的(如图2所示)。(2)双链DNA分子的自旋极化率会随着其长度的增加而增大,如图3所示。当双链DNA分子长度为80个碱基时,自旋极化率能超过60%;(3)单链DNA分子不能过滤电子自旋。这与上述实验结果完全符合。此外,他们还研究了自旋极化率与系统的各种参数关系,发现通过适当地增加双链DNA分子的螺旋度,自旋极化率可以显著增加。
这项工作阐明了DNA分子作为自旋过滤器的物理机制,给出了不同条件下DNA分子自旋过滤的效率,为将来进一步设计DNA分子自旋器件奠定了理论基础。该研究成果发表在Physical Review Letters 108, 218102 (2012)上。
该研究工作得到国家自然科学基金委员会、科技部和中国科学院相关项目的资助。
图1. 双链DNA的空间结构。
图2. 不同情况下自旋向上电子和自旋向下电子的电导,以及自旋极化率与能量的关系。
图3. (a) 自旋极化率,(b) 平均自旋极化率,(c) 平均自旋向上电子电导与DNA长度的关系。(d) 转变长度与退相干的关系。
新闻来源:http://www.cas.cn/ky/kyjz/201206/t20120612_3596168.shtml












留言