近期,国际学术期刊Antiviral Research 在线发表了中国科学院上海巴斯德研究所的研究论文A murine model of coxsackievirus A16 infection for anti-viral evaluation。
手足口病是一种常见的儿童传染性疾病。近年来,手足口病在我国广泛流行,已成为重大公共卫生隐患。柯萨奇A16型病毒(coxsackievirus A16, CA16)是手足口病的主要致病原之一,感染CA16的儿童可能出现严重的中枢神经系统并发症并导致死亡。建立可用于评价CA16疫苗和药物有效性的动物模型对于开发CA16的预防性疫苗和抗病毒药物具有重要意义。
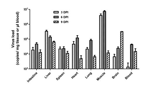
上海巴斯德所博士后刘庆伟和博士研究生石金平在研究员黄忠的指导下,尝试利用新生小鼠建立CA16感染的动物模型。研究人员将CA16病毒接种到新生小鼠腹腔内,7天后小鼠出现瘫痪等神经系统并发症并死亡,表明感染小鼠脑部神经元已受损。各组织的病毒载量分析显示,感染早期(3-6天)CA16病毒在肌肉组织中大量复制,感染9天时病毒主要聚集在脑组织中,提示CA16病毒具有神经嗜性。研究还发现CA16感染病症与小鼠日龄相关:日龄增加,病毒感染的临床症状减轻,不同CA16毒株对小鼠的致病力也有差异。研究人员利用该模型评价抗CA16单克隆抗体的体内治疗效果,发现在致死剂量病毒感染小鼠1天后注射抗CA16单克隆抗体,具有100%的治疗效果。研究结果成功建立了可用于评价抗CA16疫苗和药物有效性的动物模型。
此项研究获得国家自然科学基金、上海市生物医药领域科技支撑计划、上海市自然科学基金、中科院“百人计划”和中科院上海生命科学研究院博士后基金的资助。
CA16感染小鼠各组织的病毒载量。(新生小鼠腹腔注射致死剂量的CA16,在感染后3、6和9天采集感染小鼠的不同组织和血液样品进行荧光定量PCR分析,发现在感染9天时CA16病毒大量聚集在脑组织中。)
新闻来源:http://www.cas.cn/ky/kyjz/201404/t20140414_4090328.shtml










留言