数学可以说美丑吗?如果可以,人们体验数学之美的时候必须要能理解其中的数学含义吗?当我们体验数学之美的时候,大脑成像技术又会给我们带来什么样的惊喜?这些问题,统统有了答案。
“不偏袒地讲,数学,不但掌握着真理,还是至美之物。”——罗素
关于美学最新的神经学研究显示,视觉、听觉和道德上的美感体验都与“情绪化大脑”的同一个区域有关:内侧眶额叶皮层(medial orbitofrontal cortex,mOFC)的A1区。
那么数学呢?柏拉图相信数学之美是美的最高形式,因为它是智力的纯粹产物,而且涉及的是普适的真理。类似的,艺术评论家Clive Bell 有言:
“艺术将我们从庸俗的人间提升到了美的世界。在那么一瞬间,我们不再关心得失利弊;我们的期望和回忆被束之高阁;我飘扬到了生活的溪流之上。而沉迷于自身研究的纯粹的数学家也能体会到这种类似的状态(尽管可能不完全一样)。他在思索时体会到的情感不是来自于人类的生活,而是源自超越人类生活的抽象科学。我有时会想,对艺术的欣赏和对数学的欣赏是不是比我们想的还要相似?”
新的研究显示Bell可能是对的。SemirZeki和他的同事找到了16名数学研究生和博士后,以及另外12个非数学专业的人。受试者将在核磁共振扫描仪中理解一系列数学等式,随后根据他们的理解为这些等式的美学程度打分。在此之后,他们被要求填写一份问卷,报告他们对每个等式的理解程度以及看到这些等式时的情感体验。
下面这个问题被评为“美”的次数最多(欧拉等式):
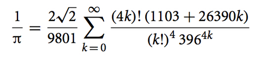
其他赢得公式选美大赛的还包括毕达哥拉斯等式、一个关于指数函数和三角函数的等式(在复分析中由欧拉公式中导出)、以及柯西-黎曼方程。相比之下,下面这个是被评为最丑的等式(1/π的拉马努金无穷级数):
其他得分较低的公式还有黎曼泛函方程以及可以通过两种两个立方组合得到的最小数字,还有一个具有一特殊性质(前一个态射的像等于后一个态射的核)的正则序列。
通过大脑扫描,研究者发现体验数学之美的区域与之前发现的与视觉、听觉和道德美感相关的区域并无二致,即都是内侧眶额叶皮层的A1区。不仅如此,这种感觉越强烈,这个区域的大脑就越活跃。
有意思的是,理解公式与否与是否能体验其美感并无严格关联。即便是非数学专业的受试者也会感觉一些公式更美,虽然他们不能理解其含义。内侧眶额叶皮层A1区的活动与对美的评判相关,而与理解无关。
需要注意的是,这些发现并不意味着内侧眶额叶皮层是唯一同数学之美相关的脑区。还有一些在看到美丽图案或者听音乐片段时没有激活的脑区在看到数学问题时活跃了起来。事实上,研究表明的是在经历看似不同的美感刺激时,内侧眶额叶皮层A1区的活动似乎是它们之中的共通之处。
此外,这一结果也同样不意味着这一区域只用于体验美。内侧眶额叶皮层A1区还有很多功能,包括情感、学习、快乐以及获得奖赏。
最后要明确的是,研究结果也不意味着内侧眶额叶皮层A1区的神经元产生了对数学美的体验。结果仅仅表明大脑活动与看到数学公式时体验美有相关性。
然而,这一结果还是很有意思,而起引出了一个有趣的问题:如果体验数学的美并非一定要理解其数学意义,那么数学之美是源于哪里呢?
研究人员的看法是“美具有一种独立于文化和教育的抽象品质。”他们猜测非数学专业的人们评估数学等式的美时,并非是基于认知理解,而注重的是等式的形式,例如符号样式、对称性等等。
研究人员们并没有就此止步,他们认为也许美是自然界中真理的一个指向标。确实,柏拉图强调,数学形式之所以是美的,正是因为它们洞见了宇宙的根本结构。类似的,理论物理学家狄拉克说道:
“数学推理能有助于人们对自然现象的研究,这并没有逻辑必然性,但在实践中又确实如此。这不得不归因于自然所具有的数学本性。虽然任何一个仅凭逻辑来观察自然的人都无法推断出它的存在,但这种本性却在整个自然中扮演着重要的角色……虽然相对论有悖简洁这一原则,但它本身惊人的数学之美让它为物理界广泛接受。这是一种难以定义的特质,正如艺术中的美也从无定论一般,但学习数学的人却往往能很容易就体会到它。在对自然的描述中,相对论将数学之美发挥到了令人难以想象的极值……我们已经明白,我们需要将简洁这条准则换做数学的美。研究者们在将自然法则用数学形式表达出来时,应该为其数学的美不懈奋斗。通常的情况是,简洁的要求同美的要求不谋而合,但当两者发生冲突时,前者必须让位。”
他们的研究对于美学哲学的研究也有影响。该领域中人们经常争论审美体验是否可以被量化,以及对美的感受与快乐和奖赏有多少关联。(张红娜 斑马线)
新闻来源:http://www.huanqiukexue.com/html/scilogs/2014/0821/24741.html













留言