
图片来源:pixabay
在《星球大战9:天行者崛起》中,第一秩序想要给银河系的各位好好上一课。所以,根据帕尔帕廷皇帝的命令,一艘“长矛级”歼星舰从太空发射出超强光束,炸毁了奇基米星。
我知道你在想什么:炸掉一颗行星需要多少能量?当然,这只是个学术问题。我肯定你不是图谋不轨的西斯皇帝,所以我会告诉你怎么算出结果。但即使这不是真实事件,计算一下也很有乐趣。
爆炸视频分析
首先,我们需要估算一下行星碎片被炸飞时的速度。我们可以用Tracker视频分析软件实现,思路就是挑出一些特定的碎片,然后绘制它们在视频每一帧中的位置。
位置以像素为测量单位,但是我们可以通过将其与场景中的物体按比例缩放,把像素转换为距离。接下来,我们从帧速中获得时间数据,在本视频中为每秒24帧。假设场景以常规速度拍摄(也就是说那不是慢镜头),那么一帧画面代表的时间就是1/24秒。借助位置与时间数据,我们就能计算出速度。
为了确定距离比例,我要用奇基米星的大小来作为参照。这颗行星有多大呢?这谁知道啊?那么我就假设它的半径为1K,其中K等于奇基米星的半径。是的,用我们测量的东西本身来定义单位,看着有点傻,但是科学里面我们一直都这么做(在人们知道地球到太阳的实际距离之前,人们假定它为一个“天文单位”)。不用担心,这条路走得通。
另外还有一个问题。实际上,我们只能测量物体在垂直于摄像机方向上移动的速度,也就是在画面平面内。为什么?假设有一块碎片呈一定角度朝着摄像机飞过来。在每一帧画面中,它都会往边上移动一点点,并且尺寸变大一点点。但如果我仅绘制其像素位置,那么我就会低估它的行进距离,因此算出的速度也会偏低。
脑中有了思路之后,我选择了三块位于行星边缘的碎片(从摄像机的视角来看),它们往不同方向飞出去。随后,我用 Tracker 软件画出了飞行距离(即每个物体与行星中心的径向距离)随时间的变化。

图片来源:pixabay
可以看到,这些碎片几乎呈直线状飞行,而每条线的斜率(位置变化/时间变化)就是径向速度,用 K/s 来作单位。绿色与蓝色碎片的速度很相近,约为0.3K/s。而红色碎片的初始速度为0.24K/s,然后下降到约0.08K/s。这有可能是软件错误,同一幅画面里有一堆东西四处乱飞时,只跟踪其中的几个物体难度很大。
我还分析了后面场景中出现的几块碎片,发现速度大约在0.4K/s 左右。既然碎片的移动速度各有差异,我就决定将0.3K/s作为粗略的平均速度。
这速度算快吗?取决于K值。如果这颗行星和地球一般大小,那么K就是637万米。将这个转换为速度单位,我得到的碎片速度为每秒190万米。那可是超级快的。不过这仍然只有光速(3亿米/秒)的0.6%,这是件好事,因为如果物体接近光速飞行,就会发生奇怪的事情。当然,如果奇基米行星的半径要比地球大的话,速度就会更大。这有可能吗?好吧,在我们太阳系中,地球是最大的岩石行星,人们能够在其表面行走。像木星这样的行星确实要比地球大得多,但是它没有岩石表面,无法产生爆炸后岩石乱飞的场面。
在我们太阳系之外,大多数已知的系外行星都是类似于木星一样的气态巨行星,较低的密度表明它们不是岩石行星。不过,这其中也有一些陆地行星。其中最大的是开普勒-20b,其半径是地球的1.87倍。如果用那颗行星作为参照,那么视频中碎片的飞行速度将会是350万米/秒。还是比光速慢不少。
需要多少能量?
现在,我们就能回答大家的问题了。让我们从三个粗略的近似值开始。首先,我们假定奇基米星和地球一样大,半径为637万米。我们再使用地球的质量,5.972×10^24千克,并假设其密度均匀(尽管这不是真的)。
最后,让我们假定,爆炸后所有碎片喷出的平均速度为50万米/秒。这要比我测量出来的值低很多很多。为什么用更低的速度呢?因为我跟踪的可能是速度最快的碎片,它们位于爆炸的主要边缘地带。而且,我想要保守估算能量需求。
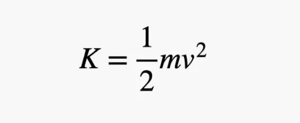
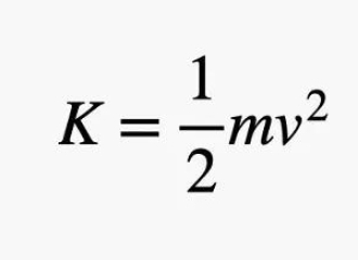
用这个估算的平均速度,我现在能够计算爆炸的总能量,即所有飞行碎片的总动能(K)。(抱歉,我好像用K这个符号代表了两个不同的事物。)这个动能可表示为行星总质量m与碎片飞行平均速度v的函数:

图片来源:pixabay
使用地球的质量,和碎片速度估计值的下限,即50万米每秒,可得出能量为7.465x10^35焦耳。为了情景化地解释这点,想象你从地上捡起一本物理学教科书放在桌子上,这个过程消耗的能量大约是10焦耳。就像这样,在后面再加上35个零。这可是一个很大的数字。
所以歼星舰的功率有多大?
功率定义为能量随时间变化的速率:
如果能量以焦耳为测量单位,时间用秒来表示,那么功率的单位就是瓦特。我们再回看一下视频,估算一下歼星舰将所有能量传输到行星所需的时间。我估计这段时间约为10秒。
顺便提一句,尽管星战百科全书网站Wookieepedia将它称为“超级激光炮”,但那不是激光武器。如果它真的是激光,那么它应该是看不见的。在地球上你能看到激光束,那是因为里面的光从尘埃颗粒等物质上面反射出来。但是在太空里,没有什么能让激光束散射,因此光就不会抵达你的眼睛。你只能看到一颗行星突然就炸了。
不管怎样,如果时间为10秒,能量变化约为7x10^35焦耳,那么功率就是7x10^34瓦特。
为了进行比较,想象一下你可以使用来自太阳的所有辐射。这将会非常困难,因为辐射是往四面八方发散的。你必须用一个巨型球状太阳能板将太阳围住,就像戴森球那样。总之,假设你能做到,那么太阳的总输出功率是3.8x10^26瓦特。
好了,这就表明歼星舰比我们的太阳还要强上1亿倍之多。换个角度来看,最终秩序舰队中平均每艘星舰都拥有至少1亿颗太阳的功率。真是令人生畏的强敌。
但你知道,汉·索罗此时会说:“永远别跟我说几率。”
撰文:Rhett Allain
翻译:阿金
审校:戚译引
引进来源:Wired

本文来自:中国数字科技馆
特别声明:本文转载仅仅是出于科普传播信息的需要,并不意味着代表本网站观点或证实其内容的真实性;如其他媒体、网站或个人从本网站转载使用,须保留本网站注明的“来源”,并自负版权等法律责任;作者如果不希望被转载或其它相关事宜,请与我们接洽。
[责任编辑:环球科学]








京公网安备11010502039775号


