
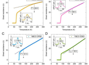
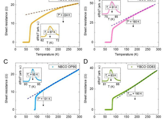
NBCO(钕铋铜氧)和YBCO(钇铋铜氧)薄膜的片电阻随着温度的变化而变化。分别绘制样品(A)UD60b(厚100nm,暴露在与样品UD60相同的条件下);样品(B)UD81(厚度50nm);样品(C)OP90(厚100nm)和样品(D)OD83(厚50nm)的片电阻RΩ相对于温度变化的函数。薄膜的临界温度Tc是从R(T)的特征的一阶导数的最大值(四个面板中的嵌入图)中提取出来的。赝能隙温度T*是从通过偏离高温下线性的R(T)行为中间接推断到的,这是铜酸盐的奇异金属性(四个面板中的虚线)的一个特征。对于样品OD83,赝能隙温度T*并没有定义。的确,该样品有点过掺杂(掺杂量不断增加至超过最优掺杂量),在低温下,R(T)的特征曲率是突出的,这与过掺杂低的薄膜的特征相反,在这个掺杂范围中,通过偏离高温下的线性的R(T)行为可以推断出的温度是所谓的相干温度Tcoh。通过角分辨光电子能谱能观察到,Tcoh代表了相干态到非相干态之间的交叉温度。 (图片来源:Science)
在所有的高临界温度(Tc)的超导铜酸盐中都观察到了电子密度涨落。虽然这种情况经常在低掺杂的相对较低的温度下的区域相图中发现,但物理学家仍不知道掺杂底物是如何影响这些系统的不寻常性质。最近发表在《科学》上的一项新研究中,R. Arpaia和微技术和来自纳米科学系(departments of microtechnology and nanoscience)、欧洲同步加速器(the European Synchrotron)以及意大利、瑞典和法国研究量子器件物理学(quantum device physics)的合作者们使用共振X射线散射仔细测定氧化钇钡铜氧化物和钕钡铜氧化物在几种掺杂水平下电荷密度涨幅。除了已知的准临界电荷密度波(CDW)之外,研究小组还隔离了短程动态电荷密度波动(CDFs)这一结果持续高于赝能隙温度T*,其特征是几毫伏电子伏特(MEV)分布在相图中很大的区域里。
铜酸盐高温超导体(HTS)与朗道费米液体范式(Landau Fermi liquid paradigm)的不同在于其层状结构的准二维特性(2-D)和较大的电子间斥力。在最佳掺杂过程中,赝能隙状态(在低于最佳电流载流子浓度导致反常电子性质的状态下),会出现缺少中程电荷密度波级,从而与超导电性产生弱竞争。在首次发现铜酸盐高温超导体(HTS)后,物理学家首次提出了CDW和低能电荷波动的理论倡议。后来,研究人员在某些特定的材料与铜酸盐家族全部化合物中建立起了实验的证据,研究人员在削弱了超导电性的强磁场或是磊晶成长(在结晶衬底上沉积结晶层)样品中观察到了超导穹顶内的长程三维CDW(3-D CDW)的排列。物理学家目前正在争论这种电荷密度起伏(CDFs)与非常规的正常态和铜酸盐高温超导体(HTS)的超导态的相关性。
在实验中,Arpaia等人对五种YBCO和NBCO薄膜(包括NBCO:OP 90、UD 60和YBCO UD 81)测值共振非弹性X射线散射(RIXS)生成了一系列氧掺杂相图。研究人员将薄膜从抗铁磁区(AF)转移到低掺杂区(UD)和最佳掺杂区(OP),直到微过掺杂区。科学家们观察到了一些样品在不同温度下RIXS光谱的准弹性(近乎零能量损失)。相反的,反铁磁样品(NBCO AF)没有在线性背景上出现峰值。研究人员总结了几个样品的适合程度,并特别观察到了低温下的两个高峰——宽峰(BP)和窄峰(NP)。他们观察到BP与NP有相似的位置,但与NP也有着非常明显的不同和恒温依赖性。因此,Arpaia等人。将宽峰归因于极短程电荷谐调,如令人感兴趣的电荷密度波动。

符合NBCO UD 60数据的两个不同的峰值。(A)在温度于250 K(红圆)时沿(H,0)测得的UD 60样品的准弹性扫描。(B)在去除线性背景下,沿布里渊区(Brillouin zone)对角线测得的准弹性扫描[(A)中空白方块]后,仍存在一个清晰的峰值,这可与洛伦兹剖面(虚线)拟合。(C)与(A)相同,但温度是在60K(紫罗兰圆圈)。(D)在减去线性背景后[(C)中的空白方块],数据可以用两条洛伦兹剖面(实线)的总和进行拟合:一条较宽线(虚线),类似于在250K处测量的线,第二条线较窄,强度较高(点线)。(E)三维草图显示了UD 60样品在T=60K处沿H(立方体)和沿K(球体)测量的准弹性扫描,以及用来拟合它们的洛伦兹剖面。在qNP-c=(0.325,0)处出现一个窄峰(NP,蓝色表面),其中心位置为qBP c=(0.295,0)。 (图片来源:Science)
该小组进一步研究了与宽峰相关的能量,以了解这一现象的双重特征及使用高分辨率仪器的电子密度起伏(CDFs)的影响。他们在选定的温度和宽峰的波矢处测量了特定样品的RIXS光谱。在所有选定的温度下,他们注意到主峰略宽于仪器的分辨率(40微伏),且在较高温度下具有较强的非弹性成分。他们把这个准弹性峰归功于声子(原子振动),由样品表面缺陷的弹性扩散散射和电荷起伏引起的。他们观察到这种现象要么是与温度独立,要么在冷却后下降的时候发生的。
然后,研究小组利用这些信息更好地提取电荷密度贡献。在对实验结果作了进一步的理论解释之后,Arpaia等人展示了纯二维特征的动态电子密度起伏(CDFs)与具有非重要行为特征主导的单氧化铜(CuO2)引起的宽峰。他们还证实了宽峰的超短程性质。反,他们将窄峰归因于准临界CDWs,它只出现在起始温度(TQC)以下。这种准临界CDWs随后与铜酸盐的超导性竞争。
在收集了实验数据之后,研究小组在低于Tqc的准临界CDW(电荷密度波)可视化了将高温下纯动态CDFs(电荷密度波动)和所有掺杂的CDW(电子密度波)连续交叉的场景。然后,他们将静态的三维CDW可视化,这类CDW通常在铜酸盐材料中存在超导性受到阻碍的发生。这项工作表明,迄今为止一直被忽视的铜酸盐中的动态CDF代表了CDW现象的冰山一角。动态CDF占据了相图的很大一部分,在相图中,在所有测量温度下,它们的总散射强度都占主导地位。实验动态CDFs与超导电性不存在竞争,与理论相符。
此外,材料中CuO2平面的弱耦合导致CDW排列显示出明显的二维特征。由于强烈的量子热动力学起伏,这种铜酸盐只需要一个真正的静态性质,即低于形成静态三维CDW排列(T3-D)的温度。为了抑制YBCO和NBCO铜酸盐的超导电性并获得其静态的三维CDWs,科学家需要强磁场或磊晶成长的样品。研究小组的目的是测试其他铜酸盐族,并扩展掺杂区域以确认在研究中观察到的动态CDF场景的普遍适用性。
这样,Arpaia等人提出了这项研究最有趣的发现是由动态CDFs与几个meV小能量延伸到广泛的动量所引起的大量出现的宽峰。研究中所观察到的准粒子的低能散射机制使得铜酸盐成为产生费米液体现象的一个引人注目的候选者。到目前为止,这项研究中实验证明的特性已定义了铜酸盐高温超导体最显著的特性。
作者:Thamarasee Jeewandara
翻译:王麟涛
审校:罗广桢
引进来源:2019 Science X Network









京公网安备11010502039775号


